Расчет мощности греющего кабеля и теплопотерь трубопровода

Формула для расчета

На улице объектами для обогрева зачастую являются трубопроводы, поэтому расчеты теплопотерь выполняются для цилиндрической стенки. Отличие от передачи тепла через плоскую стену состоит в том, что плотность теплового потока по мере удаления от нагретой трубы будет уменьшаться в связи с увеличением площади изотермической поверхности пропорционально радиусу.

Для определения требуемой мощности и количества ниток (витков) нужно найти теплопотери трубопровода при наружной температуре воздуха наиболее холодной пятидневки с обеспеченностью 0,92, tн5 °С. Найти это значение можно в нормативном документе «СП 131.13330 Строительная климатология» таблице 3.1 «Климатические параметры холодного периода года», графа 5, согласно вашему городу.

Тепловые потери с одного метра трубы определяются по формуле Фурье, приведенной в учебнике «Проектирование и эксплуатация систем электрического обогрева в нефтегазовой отрасли.

Обратите внимание: Оценка теплопотерь на вентиляцию частного дома.

Авторы: Николай Хренков, Михаил Струпинский, Александр Кувалдин» под номером 2.6

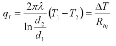
Формула тепловых потерь цилиндрической стенки (трубопровода)

где: T1 — температура на наружной поверхности трубопровода (принимаем равной температуре теплоносителя), К или °С;
T2 — температура на поверхности тепловой изоляции толщиной дельта «δ» (принимаем равной температуре наружного воздуха), К или °С;
d1 — наружный диаметр трубопровода, м;
d2 — диаметр по теплоизоляционному слою, где d2=d1+2δ, м;
λ — теплопроводность изоляции, Вт/м*К;
δ — толщина изоляции, м;
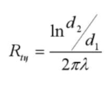
Rtu— термическое сопротивление цилиндрической стенки, м*К Вт, определяемое по формуле:

Термическое сопротивление цилиндрической стенки, м*К/Вт

Для определения требуемой мощности и количества ниток (витков) нужно найти теплопотери трубопровода при наружной температуре наиболее холодной пятидневки с обеспеченностью 0,92, tн5 °С. Найти это значение можно в нормативном документе «СП 131.13330 Строительная климатология» таблице 3.1 «Климатические параметры холодного периода года», графа 5, согласно вашему городу.

Пример расчета

Исходные данные

Город: Надым;
Изоляция: ППУ толщиной 55,5 мм;
Труба стальная: 114х6,0 мм; 
T1= tн5= -45°C;
T2= 5°С;
δ= 0,0555 м;
d1=0,114 м;
λ= 0,028 Вт/м*К.

Значение 12,93 Вт/м нужно умножить на 30% запас мощности, итого получаем 16,83 Вт/м.

На это расчет закончен. Больше примеров расчета можно увидеть в полной статье на нашем сайте: https://www.svs63.ru/statii/raschet-moshonosti-greushego-kabelya/

Больше интересных статей здесь: Стройка.

Источник статьи: Расчет мощности греющего кабеля и теплопотерь трубопровода.